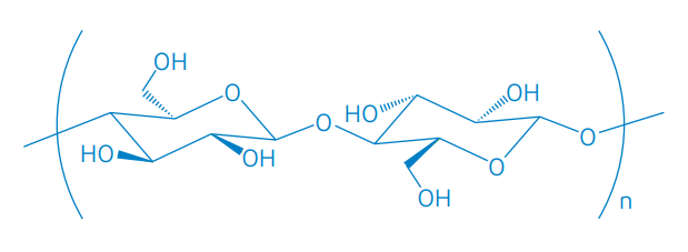
Chemically, METHOCEL™ consists of either methylcellulose (MC) or hydroxypropyl methylcellulose (HPMC), both of which are water-soluble polymers derived from cellulose that comes from natural wood or cotton linters.
 |
| Cellulose |
 |
METHOCEL™ A Grades
Methylcellulose (MC) |
METHOCEL™ E, F, K, and J Grades
Hydroxypropyl Methylcellulose (HPMC) |
What applications is METHOCEL™ used in?
METHOCEL™ is used in many different applications, and there are still yet more being innovated. While METHOCEL™ is perhaps most well known as a thickener, it includes many more functionalities and benefits. Below is a list of a few common applications for METHOCEL™.
| Applications |
Key Functionalities |
Benefits |
|
Water-based adhesives
|
- Thickening
- Rheology modification
- Stabilization
|
- Increased adhesive and cohesive strength
- Improved green strength
- Easier application onto vertical and overhead surfaces
|
|
Building products

|
- Water retention
- Rheology modification
|
- Enhanced strength and workability
- Higher durability and reduced cracking
- Better physical appearance
|
|
Technical ceramics

|
- Thermal gelation
- Rheology modification
- Clean burnout
|
- Improved green strength
- Fewer structural defects and rejects of complex-shaped parts
|
|
Architectural coatings

|
- Thickening
- Rheology modification
- Stabilization
- Film formation
|
- Higher durability of paints and coatings
- Extended shelf life of paints and coatings
- Reduced waste from dripping and sagging
|
|
Household and industrial cleaners

|
- Thickening
- Rheology modification
- Stabilization
- Soil antiredeposition
|
- Compatibility with a wide variety of pH and cleaning solvents
- Better cleaning effectiveness
- Increased contact time for sprayed formulations
|
|
Agricultural suspension concentrates

|
- Rheology modification
- Stabilization
|
- Prevention of active ingredient crystal growth
- Longer product shelf life
- Reduced active ingredient concentration
|
|
Paint removers

|
- Thickening
- Rheology modification
- Organosolubility
|
- Compatibility with a wide variety of solvents
- Increased contact time on vertical and overhead surfaces
|
|
Suspension PVC

|
- Protective colloid formation
|
- Better control over PVC resin grain size, porosity, and bulk density
|
|
Agricultural seed coatings

|
- Rheology modification
Film formation
|
- Enhanced seed coating strength
Effective nutrient binding
|
METHOCEL™ is also used as an ingredient in several food, pharmaceutical, and personal care applications to leverage many of the same functionalities listed above. It also finds use as a thickener to create the necessary viscosity to simulate solutions for medical research, theatrical props, and more. Being derived from cellulose, METHOCEL™ imparts bio content in formulations and provides a future-focused advantage in terms of driving product sustainability.
Why should I consider using METHOCEL™?
Many products on the market may offer one or more similar functionalities to those of METHOCEL™. However, none possess as many unique properties as METHOCEL™ does, which combine to improve value and functionality in an array of applications. Below is a list of properties that make METHOCEL™ uniquely valuable.
• Shear-thinning rheology modification
• Reversible thermal gelation
• Viscosity control from 15 cPs to 120,000 cPs
• Stabilization of suspensions and emulsions
• Consistent performance in solutions ranging from pH 3 to 11
• Solubility in water and various organic solvents
• Derived from plant-based materials
How do I use METHOCEL™?
METHOCEL™ cellulose ethers are sold in powdered form and must be dissolved completely in water or solvent prior to creating a solution to yield the best results—review procedures for dissolution and activation of METHOCEL™
here.
How do I select a METHOCEL™ grade?
METHOCEL™ grades are primarily selected based on the viscosity and degree of substitution required in each application. METHOCEL™ grades can be added to solutions to control viscosity within a range of 15 to 120,000 cPs. Viscosity control is largely a function of the METHOCEL™ grade’s molecular weight, where higher–molecular weight grades offer more pronounced shear-thinning properties. METHOCEL™ grades also have varying degrees of methyoxyl and hydroxypropyl functional group substitution. This variability influences the cellulose ether’s solubility within organic solvents and its thermal gelation temperature. More information about grade selection can be found in
this product article.
Where can I buy METHOCEL™?
ChemPoint offers METHOCEL™ in bags and pallets for industrial applications. Explore the full list of METHOCEL™ grades available
here, or contact us below to ask a question or request a quote or sample.